This one is about reading carefully and then following a clear rule. In Parity Flag Map, you are trying to work toward the right list by following one clear idea.
Here, you start with one piece of information and turn it into something cleaner or more useful. You might keep only certain items, change their shape, or fix how text looks. The important part is to follow the steps in the right order. If you do that carefully, the final result comes out just the way the problem expects.
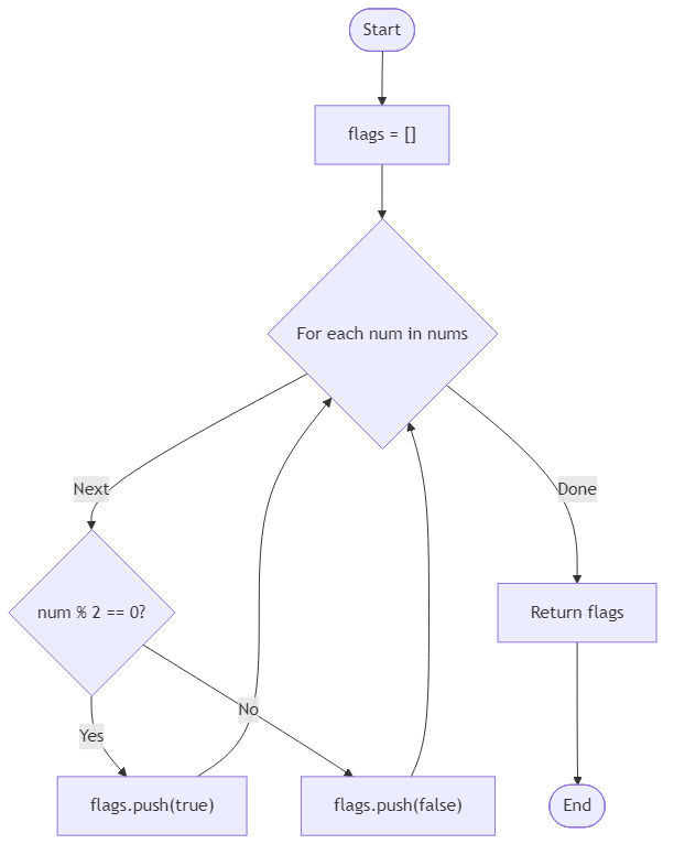
For example, if the input is nums = [1,3,5], the answer is [false,false,false]. All numbers are odd. Another example is nums = [], which gives []. No readings mean no flags.
This is a friendly practice problem, but it still rewards careful reading. The key is doing the steps in the right order and not changing things you should keep.
Example Input & Output
All numbers are odd.
No readings mean no flags.
Even numbers (2,6) produce true entries.
Algorithm Flow

Best Answers
import java.util.stream.IntStream;
class Solution {
public Object parity_flags(Object nums) {
int[] arr = (int[]) nums;
return IntStream.of(arr).map(n -> n % 2).toArray();
}
}Comments (0)
Join the Discussion
Share your thoughts, ask questions, or help others with this Challenge.
